已用时00:00:00
第一部分 数学
第一题:1~9小题,每小题1分,共9分.下列每题给出的四个选项中,只有一个选项是符合题目要求的.
1.




2.




3.




4.
5.




6.




7.
8.




9.
第二题:10~23小题,每小题1.5分,共21分.下列每题给出的四个选项中,只有一个选项是符合题目要求的.
10.
11.
12.




13.
14.
15.




16.




17.
18.




19.
20.




21.
22.




23.
第二部分 物理专业知识
1.
2.



3.
4.




5.




6.
7.
8.
9.
10.




11.




12.




13.
14.




15.




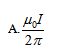
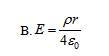
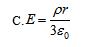
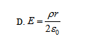
16.设光栅平面、透镜均与屏幕平行。则当入射的平行单色光从垂直于光栅平面入射变为斜入射时,能观察到的光谱线的最高级次k为( )。
17.在杨氏实验装置中,光源波长为640nm,两狭缝间距为0.4mm,光源离狭缝的距离为50cm,求光屏上第1亮条纹和中央亮条纹之间的距离为( )。
18.扩展光源照到平行薄膜上形成干涉花样,其形状为:一系列明暗相间的同心圆环,且( )。
19.波长为4000Ǻ和8000Ǻ的两条谱线的瑞利散射强度之比为( )。
20.在双缝干涉实验中,用单色自然光在屏上形成干涉条纹。若在两缝后放一个偏振片,则( )。
21.
22.在夫琅禾费单缝衍射实验中,对于给定的入射单色光,当缝宽度变大时,除中央亮纹的中心位置不变外,各级衍射条纹( )。
23.
24.在双缝干涉实验中,入射光由红光换为紫光,其他条件不变,干涉条纹将( )。
25.




26.




27.
28.在一绝热箱中装有水,水中有一电阻丝,有蓄电池供电,通电后水及电阻丝的温度略微升高。若以水和电阻丝为系统,其余为环境,则( )。
29.




30.
31.1mol刚性双原子理想气体分子在温度为T时,其内能为( )。




32.0.02kg的氦气(视为理想气体),温度由17°C升为27°C,若在升温过程中不与外界交换能量,气体内能的改变以及外界对气体做功分别为( )。
33.
34.对于一定质量的理想气体,( )。
35.
36.温度为25°C、压强为1atm的1mol刚性双原子分子理想气体,经等温过程体积膨胀至原来的3倍。假设气体经绝热过程体积膨胀至原来的3倍,那么气体对外的功是( )焦耳。




37.




38.一运动电荷q,质量为m,进入均匀磁场中,( )。
39.




40.




41.




42.




43.半径为R的无限长直圆柱体均匀带电,体电荷密度为ρ,则圆柱体内部场强分布为( )。




44.




45.反映微观粒子运动的基本方程是( )。
46.某种金属在光的照射下产生光电效应,要想使饱和光电流增大以及增大光电子的初动能,应分别增大照射光的( )。
47.一光子与电子的波长都是2Å,则它们的动量和总能量之间的关系是( )。
48.在理想条件下,如果正常人的眼睛接收550nm的可见光,此时只要每秒有100个光子数就会产生光的感觉。试问与此相当的光功率是( )。




49.




50.




Copyright©1999-2018北京中公教育科技股份有限公司 .All Rights Reserved
全国统一报名专线:400-6300-999 网课报名:400-900-8885
图书订购:400-6509-705 传真:010-82838452
京ICP备10218183号 京ICP证161188号 京公网安备11010802020593号
已暂停